1/3SijaliceLED traka 3528 – bela svetlost - Tip dioda: SMD 3528 - Boja svetla174 RSD17.03.2026 / 16:31ČačakPozovite
1/6SijaliceLED sijalica za auto – festoon C5W, 39 mm, 6×SMD - Tip: LED festoon195 RSD17.03.2026 / 13:13ČačakPozovite
1/6LED sedmosegmentni displej – 8 cifara (modul) - Tip: LED 7-segmentni500 RSD17.03.2026 / 14:35ČačakPozovite
1/3LED nastavak za česmu – 7 boja - Univerzalni nastavak sa ugrađenim600 RSD17.03.2026 / 13:25ČačakPozovite
1/2SijaliceLED sijalica T10, 24V, zelena – 360° svetlosni snop - Tip grla: T10200 RSD17.03.2026 / 15:19ČačakPozovite
1/2PriključniceRGB konektor za LED trake – 4-pinski (četvoropolni) kabl adapter -100 RSD17.03.2026 / 16:26ČačakPozovite
1/4SijaliceLED CANBUS festoon sijalica 31 mm – x1 kom - Tip: festoon (cevasta)196 RSD17.03.2026 / 16:42ČačakPozovite
1/3RGB LED kontroler sa daljinskim (24 tastera) Opis: - Komplet sadrži499 RSD17.03.2026 / 17:01ČačakPozovite
1/4Omron H3Y-2 vremensko rele sa podnožjem - Tip: monostabilni vremenski1 210 RSD17.03.2026 / 17:56ČačakPozovite
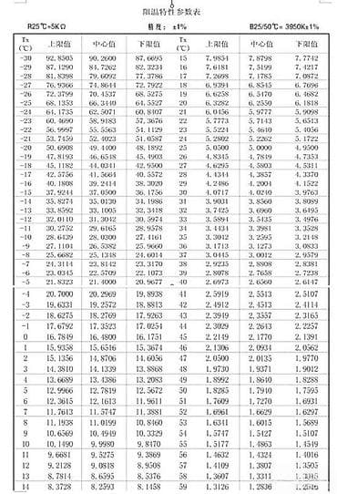
1/6NTC sonda 5k - Termistor NTC 5 kΩ za merenje temperature - Senzorska400 RSD17.03.2026 / 18:37ČačakPozovite
1/3SijaliceH7 LED sijalica – 68 SMD dioda (1 komad) - Tip grla: H7 - Izvor494 RSD17.03.2026 / 14:48ČačakPozovite
1/2SijaliceXenon sijalica H1 – 4300K - Tip grla: H1 - Temperatura boje: 4300K740 RSD17.03.2026 / 14:04ČačakPozovite
1/3SijaliceH3 LED sijalica – 25 SMD, plavo svetlo - Tip grla: H3 - Tehnologija499 RSD17.03.2026 / 14:14ČačakPozovite
1/3Solarni paneliSolarni kontroler punjenja – 20A Opis: - PWM kontroler za solarne1 900 RSD17.03.2026 / 14:28ČačakPozovite
1/5Pretvarači naponaTermo pretvarač (transmiter) za RTD senzore, 4–20 mA - Ulaz: Pt1001 548 RSD17.03.2026 / 14:33ČačakPozovite
1/3DC kontroler brzine motora sa potenciometrom Opis: - Elektronski1 399 RSD17.03.2026 / 16:18ČačakPozovite
1/3SijaliceCrvena LED dioda 5 mm – visokog intenziteta - Boja svetla: crvena -59 RSD17.03.2026 / 16:01ČačakPozovite
1/3Termostat sa bimetalom – 140°C, 10A, 250V, NC - Tip: bimetalni210 RSD17.03.2026 / 15:20ČačakPozovite
Kućni dekorPraznična akcija Prelep buket od satenskih ruža u elegantnom pakovanju2 500 RSD2 000 RSD10.01.2026 / 13:01ČačakPozovite
1/4SijaliceB8.5D plava LED sijalica za instrument tablu - Tip grla: B8.5D106 RSD17.03.2026 / 14:24ČačakPozovite