PrijavaRegistracija

  • 0
  • 0

+381 64 05287xx

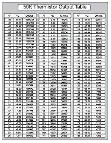
NTC temperaturna sonda 50k - Tip: NTC termistor, nominalni otpor 50

Čačak

NTC temperaturna sonda 50k

- Tip: NTC termistor, nominalni otpor 50 kΩ (na 25°C)
- Kapsulacija: metalna/prohromska cevastа glava sonde za stabilno i brzo očitavanje
- Konektor: 2-pinski (standardni mali konektor, vidi slike)
- Kabl: crni, fleksibilan, dužina približno 1–2 m (prema fotografiji), pogodan za ugradnju na udaljenijim tačkama merenja
- Primena: termostati, kontroleri grejanja/hladjenja, akvarijumi, inkubatori, 3D štampači, HVAC, bojleri i druge automatike
- Karakteristike:
- Negativni temperaturni koeficijent – otpor opada sa porastom temperature
- Brz odziv zahvaljujući metalnoj sondi
- Električno izolovan element unutar sonde
- Stabilna i ponovljiva merenja
- Priložena referentna tabela otpornosti za 50k NTC (°C/Ω) radi lakše kalibracije i provere
- Način ugradnje: sonda se postavlja u kontakt sa površinom ili se uranja u medijum; kabl se povezuje na ulaz za NTC 50k na regulatoru ili ploci

Napomena: Proverite kompatibilnost uređaja – zahtevani tip je NTC 50k. Idealno za precizno merenje temperature u širokom spektru primena.

Datum kreiranja: 17.03.2026
Datum ažuriranja: 17.03.2026
ID 109775724

Podelite sa prijateljima

370 RSD

+381 64 05287xx

Pogledajte srodne ponude

  • MERAČ LANCA WORK SA SKALOM | MERAČ LANCA WORK SA SKALOMMerač -
    MERAČ LANCA WORK SA SKALOM | MERAČ LANCA WORK SA SKALOMMerač -

    1 695 RSD

    MERAČ LANCA WORK SA SKALOM | MERAČ LANCA WORK SA SKALOMMerač -

    MERAČ LANCA WORK SA SKALOM | MERAČ LANCA WORK SA SKALOMMerač - indikator istegnutosti lancaDužina:143 mmDebljina: 1,5 mmMaterijal: nerđajući čelikTežina: 30 grDizajnirano za PROFI upotrebuŠifra: ...
  • ALAT, LENJIR 42CM,ZA RAVNANJE VRATA I PRAGOVADVE SKALE | Lenjir
    ALAT, LENJIR 42CM,ZA RAVNANJE VRATA I PRAGOVADVE SKALE | Lenjir

    2 500 RSD

    ALAT, LENJIR 42CM,ZA RAVNANJE VRATA I PRAGOVADVE SKALE | Lenjir

    ALAT, LENJIR 42CM,ZA RAVNANJE VRATA I PRAGOVA ,DVE SKALE | Lenjir pogodan za brzo ravnanje i setup vrata. Od prvog praga meri. Poseduje dve skale 24.75\ i 25.5\ sa gornje i sa donje strane. Duzin...
  • Merač dužine – otvoreno kućište sa trakom velikog dometa -
    Merač dužine – otvoreno kućište sa trakom velikog dometa -

    35 EUR

    Merač dužine – otvoreno kućište sa trakom velikog dometa -

    Merač dužine – otvoreno kućište sa trakom velikog dometa - Profesionalna merna traka u otvorenom (ram) kućištu za brzo odmatanje i namotavanje - Duga, fleksibilna traka sa jasnim, čitljivim podela...
  • Univerzalni ugaoni šablon – multifunkcionalni merni alat -
    Univerzalni ugaoni šablon – multifunkcionalni merni alat -

    15 EUR

    Univerzalni ugaoni šablon – multifunkcionalni merni alat -

    Univerzalni ugaoni šablon – multifunkcionalni merni alat - Višenamenski šablon/ravnalo sa više zglobnih ručica i preciznom skalom, za brzo merenje i prenošenje uglova i oblika. - Idealno za pločic...
  • METALNI LENJIR ZA SETUP GITARA - ALAT BESPLATNA DOSTAVA | Metalni
    METALNI LENJIR ZA SETUP GITARA - ALAT BESPLATNA DOSTAVA | Metalni

    600 RSD

    METALNI LENJIR ZA SETUP GITARA - ALAT BESPLATNA DOSTAVA | Metalni

    METALNI LENJIR ZA SETUP GITARA - ALAT BESPLATNA DOSTAVA | Metalni lenjir za setup svih vrsta gitara Alat za majstoreSlanje po dogovoru ***BESPLATNA DOSTAVA ZA PORUDŽBINE PREKO 5000 DINARA POSLE U...
  • DEWALT digitalni ekran/monitor za inspekcijsku kameru
    DEWALT digitalni ekran/monitor za inspekcijsku kameru

    Dogovor

    DEWALT digitalni ekran/monitor za inspekcijsku kameru

    DEWALT digitalni ekran/monitor za inspekcijsku kameru (endoskop/boroskop) - Brend: DEWALT - Kompaktan ručni monitor sa gumenim, otpornim kućištem - Veliki kolor ekran za pregled snimaka sa kamere ...
  • Digitalni ugaoni lenjir Parkside - Metalni dvokraki lenjir sa
    Digitalni ugaoni lenjir Parkside - Metalni dvokraki lenjir sa

    13 EUR

    Digitalni ugaoni lenjir Parkside - Metalni dvokraki lenjir sa

    Digitalni ugaoni lenjir Parkside - Metalni dvokraki lenjir sa digitalnim meračem ugla za precizno merenje i prenošenje uglova - Očitavanje na LCD ekranu u stepenima; tasteri ON/OFF, HOLD/LOCK i nu...
  • Tegovi za vagu – liveno gvožđe - Dva cilindrična tegova od livenog
    Tegovi za vagu – liveno gvožđe - Dva cilindrična tegova od livenog

    15 EUR

    Tegovi za vagu – liveno gvožđe - Dva cilindrična tegova od livenog

    Tegovi za vagu – liveno gvožđe - Dva cilindrična tegova od livenog gvožđa, sa metalnom ručkom na vrhu za lako podizanje. - Jedan teg sa jasno utisnutom oznakom 5 kg. Drugi veći teg bez vidljive oz...
  • ECROLOG digitalni temperaturni data logger sa sondama - Profesionalni
    ECROLOG digitalni temperaturni data logger sa sondama - Profesionalni

    180 EUR

    ECROLOG digitalni temperaturni data logger sa sondama - Profesionalni

    ECROLOG digitalni temperaturni data logger sa sondama - Profesionalni uređaj za merenje i beleženje temperature u realnom vremenu - Veliki LCD ekran sa prikazom trenutne temperature (°C), statusni...
  • Digitalni ubodni termometar Ubodni termometar merni opseg - 50-300°
    Digitalni ubodni termometar Ubodni termometar merni opseg - 50-300°

    500 RSD

    Digitalni ubodni termometar Ubodni termometar merni opseg - 50-300°

    Digitalni ubodni termometar Ubodni termometar merni opseg - 50-300° CUbodni termometar se upotrebljava u prehrambenoj industriji, laboratorijam a, pivarama, staklenicima. ✨ U prehrambenoj industri...
  • UNILIFE Pulsmesser PE 105 – prenosivi merač pulsa sa alarmom i
    UNILIFE Pulsmesser PE 105 – prenosivi merač pulsa sa alarmom i

    15 EUR

    UNILIFE Pulsmesser PE 105 – prenosivi merač pulsa sa alarmom i

    UNILIFE Pulsmesser PE 105 – prenosivi merač pulsa sa alarmom i tajmerom - Model: UNILIFE Pulsmesser PE 105 - Funkcije: merenje pulsa (POULS), podesivi zvučni alarm za prag pulsa (ALARM), tajmer/št...
  • AquaHorti PAR | UV Meter – ručni merač svetlosti za hortikulturu i
    AquaHorti PAR | UV Meter – ručni merač svetlosti za hortikulturu i

    Dogovor

    AquaHorti PAR | UV Meter – ručni merač svetlosti za hortikulturu i

    AquaHorti PAR | UV Meter – ručni merač svetlosti za hortikulturu i akvaristiku - Instrument za merenje fotosintetički aktivnog zračenja (PAR) i UV zračenja - Integrisani dvostruki senzor na vrhu: ...
  • Digitalna trgovinska vaga Huang – maksimalno opterećenje 40 kg -
    Digitalna trgovinska vaga Huang – maksimalno opterećenje 40 kg -

    2 000 RSD

    Digitalna trgovinska vaga Huang – maksimalno opterećenje 40 kg -

    Digitalna trgovinska vaga Huang – maksimalno opterećenje 40 kg - Platforma za merenje sa zaštitnom folijom - Tri displeja: težina (kg), jedinična cena i ukupna cena - Deklarisana tačnost (podeljak...
  • RADIUS GAUGE NOTCHED 4-SET ALAT PROFI | Slanje po dogovoru ili lično
    RADIUS GAUGE NOTCHED 4-SET ALAT PROFI | Slanje po dogovoru ili lično

    1 400 RSD

    RADIUS GAUGE NOTCHED 4-SET ALAT PROFI | Slanje po dogovoru ili lično

    RADIUS GAUGE NOTCHED 4-SET ALAT PROFI | Slanje po dogovoru ili lično preuzimanje - Novi Sad i okolina100% Novo100% Kao na slici Profi alat za majstore Guitar making tool Universal tool for precis...
  • Opis oglasa Termo detektor GIS 1000 C Professional Bosch Svestrani
    Opis oglasa Termo detektor GIS 1000 C Professional Bosch Svestrani

    200 EUR

    Opis oglasa Termo detektor GIS 1000 C Professional Bosch Svestrani

    Opis oglasa Termo detektor GIS 1000 C Professional Bosch Svestrani termo detektor za precizna i raznovrsna merenja. Termo detektor GIS 1000 C Professional je brzo rešenje za precizno očitavanj...
  • MERNI LISTIĆI ZA ŠTELOVANJE 32KOM ŠPIJUNI ALAT | 32 pločice
    MERNI LISTIĆI ZA ŠTELOVANJE 32KOM ŠPIJUNI ALAT | 32 pločice

    900 RSD

    MERNI LISTIĆI ZA ŠTELOVANJE 32KOM ŠPIJUNI ALAT | 32 pločice

    MERNI LISTIĆI ZA ŠTELOVANJE 32KOM , ŠPIJUNI ALAT | 32 pločice namenjenih podešavanju dubine useka na nutu u odnosu na visinu žica (NISU TURPIJE). Inače se koriste i za mnoga druga precizna podeša...
  • Digitalni uglomer sa pozadinjskim osvetljenjem T-222 NOVO. Digitalni
    Digitalni uglomer sa pozadinjskim osvetljenjem T-222 NOVO. Digitalni

    2 550 RSD

    Digitalni uglomer sa pozadinjskim osvetljenjem T-222 NOVO. Digitalni

    Digitalni uglomer sa pozadinjskim osvetljenjem T-222 NOVO. Digitalni uglomer , takođe poznat kao digitalna kutija za libelu, inklinometar ili uglomer. ✨ Koristi se za merenje ili podešavanje ugl...
  • ALAT ZA RADIJUS - KOMPLET OD 9 KOMADA BESPLATNA DOSTAVA | Neophodan
    ALAT ZA RADIJUS - KOMPLET OD 9 KOMADA BESPLATNA DOSTAVA | Neophodan

    1 000 RSD

    ALAT ZA RADIJUS - KOMPLET OD 9 KOMADA BESPLATNA DOSTAVA | Neophodan

    ALAT ZA RADIJUS - KOMPLET OD 9 KOMADA BESPLATNA DOSTAVA | Neophodan alat za majstore i setup gitare. nema potrebe za skidanjem zica kako bi se merio radijus vrata. Komplet od 9 radijusa sledecih ...
  • TCM merač potrošnje električne energije (utični watt-metar) - Tip
    TCM merač potrošnje električne energije (utični watt-metar) - Tip

    22 EUR

    TCM merač potrošnje električne energije (utični watt-metar) - Tip

    TCM merač potrošnje električne energije (utični watt-metar) - Tip: mrežni merač potrošnje za standardnu šuko utičnicu - Prikaz: veliki LCD ekran sa pozadinskim osvetljenjem, višeredni prikaz podat...
  • MERAČ ISTEGNUTOSTI LANCA FORCE PROFI | MERAČ ISTEGNUTOSTI LANCA
    MERAČ ISTEGNUTOSTI LANCA FORCE PROFI | MERAČ ISTEGNUTOSTI LANCA

    1 310 RSD

    MERAČ ISTEGNUTOSTI LANCA FORCE PROFI | MERAČ ISTEGNUTOSTI LANCA

    MERAČ ISTEGNUTOSTI LANCA FORCE PROFI | MERAČ ISTEGNUTOSTI LANCA FORCE PROFIMerač - indikator istegnutosti lancaDužina:125 mmDebljina: 2 mmMaterijal: gvožđeTežina: 30 gr Šifra: 89407
  • UNILIFE Pulsmesser PE 105 – prenosivi merač pulsa sa alarmom i
    UNILIFE Pulsmesser PE 105 – prenosivi merač pulsa sa alarmom i

    15 EUR

    UNILIFE Pulsmesser PE 105 – prenosivi merač pulsa sa alarmom i

    UNILIFE Pulsmesser PE 105 – prenosivi merač pulsa sa alarmom i tajmerom - Model: UNILIFE Pulsmesser PE 105 - Funkcije: merenje pulsa (POULS), podesivi zvučni alarm za prag pulsa (ALARM), tajmer/št...
  • PICKGUARD LP MASKA BESPLATNA DOSTAVA | Zamenska plastika za Gibson
    PICKGUARD LP MASKA BESPLATNA DOSTAVA | Zamenska plastika za Gibson

    300 RSD

    PICKGUARD LP MASKA BESPLATNA DOSTAVA | Zamenska plastika za Gibson

    PICKGUARD LP MASKA BESPLATNA DOSTAVA | Zamenska plastika za Gibson style gitareDimenzije su na fotografiji 3U ponudi su i troslojne maske sa držačima i šrafovima ***BESPLATNA DOSTAVA ZA PORUDŽBIN...
  • Uredjaj za merenje diferencijalnog pritiska HT636 - NOV NOVO!
    Uredjaj za merenje diferencijalnog pritiska HT636 - NOV NOVO!

    50 EUR

    Uredjaj za merenje diferencijalnog pritiska HT636 - NOV NOVO!

    Uredjaj za merenje diferencijalnog pritiska HT636 - NOV NOVO! Diferencijalni merac pritiska. Manometar, Digitalni Ručni Diferencijalni Manometar. Visoko Precizni Tester Vazdušnog Pri...
  • Digitalni ugaoni lenjir Parkside - Metalni dvokraki lenjir sa
    Digitalni ugaoni lenjir Parkside - Metalni dvokraki lenjir sa

    13 EUR

    Digitalni ugaoni lenjir Parkside - Metalni dvokraki lenjir sa

    Digitalni ugaoni lenjir Parkside - Metalni dvokraki lenjir sa digitalnim meračem ugla za precizno merenje i prenošenje uglova - Očitavanje na LCD ekranu u stepenima; tasteri ON/OFF, HOLD/LOCK i nu...
  • Manometri – različiti modeli i opsezi merenja - Industrijski
    Manometri – različiti modeli i opsezi merenja - Industrijski

    9 EUR

    Manometri – različiti modeli i opsezi merenja - Industrijski

    Manometri – različiti modeli i opsezi merenja - Industrijski manometri poznatih proizvođača: WIKA, HANSA‑FLEX, PAKKENS i dr. - Standardi na skali: EN 837 / DIN 160 (vidljivo na instrumentima) - Sk...
  • LENJIR ZA SETUP - ALAT BESPLATNA DOSTAVA | Neophodan alat za
    LENJIR ZA SETUP - ALAT BESPLATNA DOSTAVA | Neophodan alat za

    300 RSD

    LENJIR ZA SETUP - ALAT BESPLATNA DOSTAVA | Neophodan alat za

    LENJIR ZA SETUP - ALAT BESPLATNA DOSTAVA | Neophodan alat za nivelaciju i setup svih vrsta gitaraLenjir je plastični sa iscrtanim podeocima za nut, akciju . . . . . . ***BESPLATNA DOSTAVA ZA PORU...
  • PIEZO FISHMAN STYLE BESPLATNA DOSTAVA | ***BESPLATNA DOSTAVA ZA
    PIEZO FISHMAN STYLE BESPLATNA DOSTAVA | ***BESPLATNA DOSTAVA ZA

    900 RSD

    PIEZO FISHMAN STYLE BESPLATNA DOSTAVA | ***BESPLATNA DOSTAVA ZA

    PIEZO FISHMAN STYLE BESPLATNA DOSTAVA | ***BESPLATNA DOSTAVA ZA PORUDŽBINE PREKO 5000 DINARA POSLE UPLATE NA RAČUN *** Banana konektor 2,5mmViskoko osetljiv i kvalitetan piezzo daleko bolji od sv...